Negative temperature coefficient (NTC) thermistor materials made from high purity transition metal Mn element such as Cu Ni oxide by coprecipitation milling, isostatic pressing molding after 1200-1400 ℃ high temperature sintering, combining advanced semiconductor cut, scribing process and glass sealed, epoxy process made all kinds of NTC thermistor, complete product range, high precision, good stability.
The NTC thermistor basic physical property are: resistance, B value, dissipative coefficient and time constant.
The definition is as follows:
Resistance value can be approximately expressed in the following formula:

Among them: R1, R2 as the absolute temperature of T1, T2 resistance Ω (k);
B: B value (K)
B: B (K) :
B value reflects the resistance between two temperature change, use the following formula:

Among them: R1, R2, absolute temperature resistance (Ω) of T1, T2
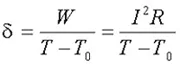
Dissipative coefficient of the delta (mW / ℃) :
Refers to the dissipation coefficient thermistor the ratio of the consumption of power and environment temperature changes:

Among them: W thermistor consumed power (mW)
T the temperature at which the heat balance
To ambient temperature
I through the thermistor current when temperature T
R when temperature T thermistor resistance (Ω)
Time constant tau (SEC.) :
Thermistor in zero energy state, when the environment temperature by a certain temperature to another specific mutations, time needed for temperature change 63.2%